Beautiful Math for Confluence Cloud
Breadcrumbs

Usage

You can insert and reference math expressions using Beautiful Math for Confluence using 6 different macros:


Include LaTex macros

See this reference on how to use LaTeX math.

LaTeX Math Block

This macro allows you to include LaTeX math equations which will be rendered as a block macro (standalone).

  1. Type /Math, select the macro LaTeX Math Block and ENTER to add and edit the macro. Alternatively you can pick the LaTeX Math Block macro from the macro browser.

  2. Fill in the formula using the LaTeX syntax in the formula input field.

beautiful-math-latex-lock-screenshotbeautiful-math-latex-b-screenshot.png
editing the macro Latex Math Block

Note that you are not expected to type the LaTeX math delimiters by yourselves. Instead, the add-on adds the pre- and suffix characters ($$).

If you want your expressions to be numbered, put them in a \begin{equation}...\end{equation} environment as in this example. If you don't want your equations being numbered, use the starred version \begin{equation*}...\end{equation*}.

You can configure LaTeX macros in the app settings. Read more here.

Example

Here is the raw formula of a numbered equation:

\begin{equation} x = a_0 + \cfrac{1}{a_1 + \cfrac{1}{a_2 + \cfrac{1}{a_3 + \cfrac{1}{a_4} } } } \end{equation}

Here is the rendered result:

image2020-12-29_1-20-10.png
example of an equation rendered with the LaTex Math Block macro

LaTeX Math Inline

This macro allows you to include LaTeX math inline in your text.

  1. Type /Math, select the macro LaTeX Inline Block and ENTER to add and edit the macro. Alternatively you can pick the LaTeX Math Block macro from the macro browser.

  2. Fill in the formula using the LaTeX syntax in the formula input field.

Note that you are not expected to type the LaTeX math delimiters by yourselves. Instead, the add-on adds the pre- and suffix characters ($$).


Include AsciiMath macros

See this reference for more information about AsciiMath.

AsciiMath Block

This macro allows you to include AsciiMath math equations which will be rendered as a block macro (standalone).

  1. Type /Math, select the macro AsciiMath Block and ENTER to add and edit the macro. Alternatively you can pick the AsciiMath Block macro from the macro browser.

  2. Fill in the formula using the AsciiMath syntax in the formula input field.

beautiful-math-ascii-b-screenshot.png
editing the macro AsciiMath Block


Note that you are not expected to type the AsciiMath delimiters (``) by yourselves. Instead, the add-on adds them for you.

Be careful that your math expressions don't look like HTML tags to the browser. As an example, please use x < y instead of x<y.

Example

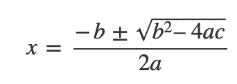
Here is the raw formula of a numbered equation:

x = (-b +- sqrt(b^2 – 4ac)) / (2a)

Here is the rendered result:

image2020-12-29_1-21-48.png
example of an equation rendered with the AsciiMath Block macro

AsciiMath Inline

This macro allows you to include AsciiMath math equations which will be rendered inline in your text.

  1. Type /Math, select the macro AsciiMath Inline and ENTER to add and edit the macro. Alternatively you can pick the AsciiMath Inline macro from the macro browser.

  2. Fill in the formula using the AsciiMath syntax in the formula input field.

Note that you are not expected to type the AsciiMath delimiters (``) by yourselves. Instead, the add-on adds them for you.

Be careful that your math expressions don't look like HTML tags to the browser. As an example, please use x < y instead of x<y.