Jupyter Viewer for Confluence
Breadcrumbs

Feature support πŸ—„οΈ

For data and user security, some Jupyter features are not available in Jupyter Viewer for Confluence.

For your convenience, we’ve listed some of the requested notebook features and their status in the app.

If you have a use case which requires a feature that is currently not supported, please let us know!

Feature

Supported

Notes

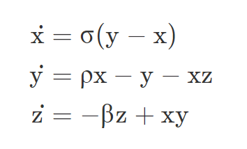
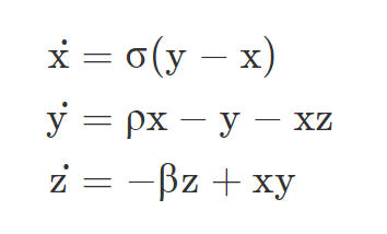
LaTeX

βœ…

Example:

\begin{aligned}
\dot{x} & = \sigma(y-x) \\
\dot{y} & = \rho x - y - xz \\
\dot{z} & = -\beta z + xy
\end{aligned}


renders as :

image-20220328-133943.png


Markdown

βœ…

Example:

We recommend activating a new [virtual environment](https://docs.python.org/3/tutorial/venv.html) and installing the dependencies via `pip install -r requirements.txt`

renders as:

image-20220328-133617.png

Note that LaTeX within Markdown is only supported when it is wrapped within $ or $$ delimiters.

Support for LaTeX in Markdown without these delimiters is specific to the GitHub platform.

❌ NOT SUPPORTED:

  {
      "cell_type": "markdown",
      "source": [
        "### 3. Using a basis\n",
        "The coordinates of these two versors at the local coordinate system in terms of the Global coordinate system are:\n",
        "\\sin\\alpha & \\hphantom{-}\\cos\\alpha \n",

βœ… SUPPORTED:

{
      "cell_type": "markdown",
      "source": [
        "### 3. Using a basis\n",
        "The coordinates of these two versors at the local coordinate system in terms of the Global coordinate system are:\n",
        "$$ \\sin\\alpha & \\hphantom{-}\\cos\\alpha $$ \n",

Images - from external link

βœ…


Images - notebook-embedded

βœ…


Code highlighting

βœ…

Code highlighting is supported in many languages, not just Python. Please check our supported languages list for more information.

ANSI console logs

βœ…


Jupyter/IPy widgets

❌

For technical implementation reasons, we currently do not support Jupyter widgets. However, there is an open request gathering interest. If you would like to see this feature added to Jupyter Viewer for Confluence, please upvote it!

Libraries



matplotlib

βœ…


pandas

βœ…

Ex. DataFrame tables

plotly

❌

Unfortunately, plotly graphs can take many forms β€œbehind the scenes”. These are based on either JupyterWidgets or various JavaScript implementation (see the JavaScript entry in this table).

There is an open request gathering interest. If you would like to see plotly support added to Jupyter Viewer for Confluence, upvote it! Please be aware that any implementation would likely require allowing JavaScript execution in the notebook.

Web/HTML



Text modifiers

βœ…


iFrames

❌

Examples

  • Google maps

  • Folium

iFrames can be misused to load JavaScript and malicious code from 3rd party sites. As the app developer, we cannot guarantee the viewing user’s browser security when iFrames are enabled. Therefore, these are disabled.

JavaScript

❌

Allowing JavaScript opens the door to malicious code execution. To allow JavaScript means trusting 100% that the notebook does not include any malicious code – be it intentional (by the notebook creator) or indirect (injected via tooling).

For the above security reasons, we have decided to disable JavaScript execution within the app’s notebook rendering.

There is a request gathering interest to allow JavaScript. If this is important to your use, please let us know by upvoting the issue! It would also help to know how you would like to control JavaScript execution (ex. within each app macro vs. project/workspace-level authorization).